-
[softeer] 나머지 정리 활용Programming 기초/Coding Test 2024. 6. 26. 22:28
바이러스 - python
https://softeer.ai/practice/6284
import sys # 2초 # 1000000007 # k*p^n % (7+10^8) input = sys.stdin.readline k, p, n = map(int, input().split()) result = k % 1000000007 remainder = p % 1000000007 for _ in range(n): result = (result * remainder) % 1000000007 print(result)pow 내장함수 사용할 경우
아래와 같이 간단하다.
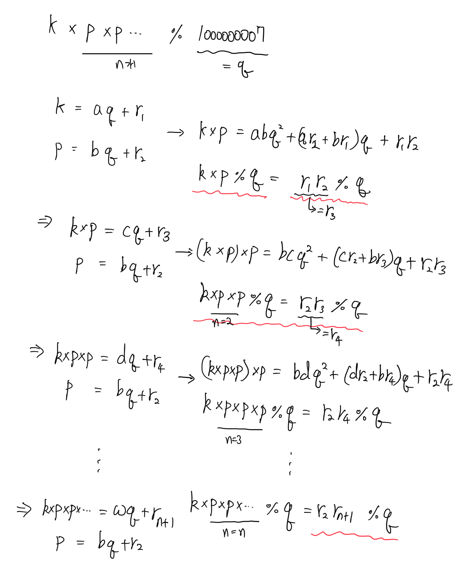
k*pow(p,n,1000000007)%1000000007나머지 정리를 이용한 정답 코드는 아래와 같은 원리로 작동한다.
A * B * C * D ... % Q 는 ((((((A % Q) * B) % Q) * C) % Q ) * D))%Q ... 와 같다.

'Programming 기초 > Coding Test' 카테고리의 다른 글
[c++/bj 1152] 단어의 개수 : getline, cin 풀이 (0) 2024.07.02 [softeer] 함께하는 효도 - 파이썬 (0) 2024.06.28 [softeer] 진정한 효도 - python (0) 2024.06.26 [softeer] str concatenate 은 += 가 아닌 join 메소드를 사용하자 (0) 2024.06.25 [이코테] 특정 거리의 도시 찾기 (0) 2023.08.21